Abstract
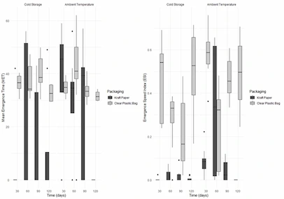
Genipa infundibuliformis, commonly known as jenipapo-do-seco, is a species with high potential for food use and ecological restoration. However, there is limited information about its seed storage and germination conditions. This study evaluated storage conditions capable of preserving the viability and germination performance of G. infundibuliformis seeds for up to 120 days. In a 2×2×4 factorial design, we tested two packaging types (kraft paper vs. transparent plastic bags), two storage environments (ambient temperature vs. cold storage), and four durations (30, 60, 90, and 120 days). Seedling emergence (%E), the Emergence Speed Index (ESI), and Mean Time to Emergence (MET) were determined in standardized seedbeds. Because distributions violated normality assumptions, nonparametric statistics were used. Transparent plastic bags maintained high %E in most scenarios, with a single exception at 60 days under ambient conditions; they also produced consistently higher ESI, indicating faster and more predictable emergence. Differences in MET depended on the time×environment combination, with the effect of time being more evident on MET and the environment exerting only a modest influence on ESI. Kraft paper performed inconsistently: medians were zero in the cold storage at all time points, and %E collapsed to 0% at 120 days under ambient storage. We conclude that, within a 120-day horizon, packaging type is the primary determinant of germination performance. We recommend standardizing the use of transparent plastic bags for seed lots destined for seedling production. When kraft paper is unavoidable, storage should be restricted to short periods and lot replacement scheduled proactively. Operationally, routine ESI monitoring should be adopted as an early indicator of quality loss, thereby improving predictability, efficiency, and supply security for nurseries and seed banks.
Article details
- Keywords
- Emergence; Seed viability; Restoration; Rubiaceae.
- Volume
- 15
- Number
- e025284
- Received
- 2025-08-03
- Accepted
- 2025-09-27
- Published
- 2025-09-28
Figures




