Abstract
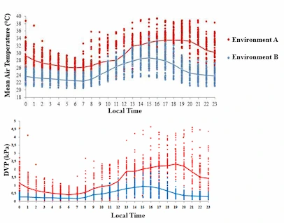
The species Khaya grandifoliola C.DC., known as African mahogany, has good size and large increment of wood. However, there are few studies of this kind in Brazilian areas, there is a need to point their climatic preferences. Thus, this study aimed to evaluate the initial growth mahogany in two different microclimate, being: environment A com the mean values of temperature and relative humidity 30 °C and 73%; environment B with average values of 25 ºC and 86%. The seedlings were planted in pots of 21.5 liters in 90 days and evaluated in inside greenhouses with controlled temperature and humidity. Plant growth was characterized by measuring total dry matter and physiological parameters (photosynthesis, transpiration and stomatal conductance). At the end of the experiment, all parameters analyzed, we noted a higher growth of species in the environment with average values of 25 ºC and 86%. The study generated information relevant to the ecology and indications of climatic preferences of the species.
Article details
- Volume
- 16
- Number
- e025282
- Received
- 2025-08-01
- Accepted
- 2026-02-26
- Published
- 2026-02-27
Figures


